IFRS 15 Journal Entries: A Complete Guide

N.Ravtech 44 views
IFRS 15 Journal Entries: A Complete Guide

IFRS 15 Journal Entries: A Complete Guide

Hey everyone! Ever felt like diving headfirst into the world of IFRS 15 journal entries can be a bit like navigating a maze? Don’t worry, you’re not alone! It can seem super complex at first glance. But, trust me, once you break it down, it’s totally manageable. Today, we’re going to break down everything you need to know about the journal entries related to IFRS 15, Revenue from Contracts with Customers . We’ll look at the core principles, why they’re important, and how to record those all-important journal entries with some super helpful examples. So, grab your coffee, get comfy, and let’s get started. We’re going to transform those potentially confusing concepts into something clear and easy to understand. Ready?

Understanding IFRS 15: The Basics

Before we jump into the juicy details of IFRS 15 journal entries , let’s make sure we’re all on the same page about the basics. IFRS 15 is the International Financial Reporting Standard that sets the rules for how companies recognize revenue. It’s super important because it provides a consistent framework for recognizing revenue across different industries and countries. This consistency is crucial for investors, analysts, and other stakeholders who rely on financial statements to make informed decisions. Think of it like a universal language for revenue. Without it, comparing the financial performance of different companies would be a total headache, right?

At its heart, IFRS 15 focuses on the core principle that revenue should be recognized when a company transfers promised goods or services to a customer in an amount that reflects the consideration the company expects to receive in exchange for those goods or services. This is a significant shift from previous standards, which often had industry-specific rules. IFRS 15 introduces a five-step model to guide the revenue recognition process. And, guess what? We’re going to get into that in the next section. But for now, just know that this standard aims to provide a more transparent and reliable view of a company’s financial performance. It’s all about making sure that revenue is recognized in the period when the company satisfies its performance obligations.

The Five-Step Model of Revenue Recognition

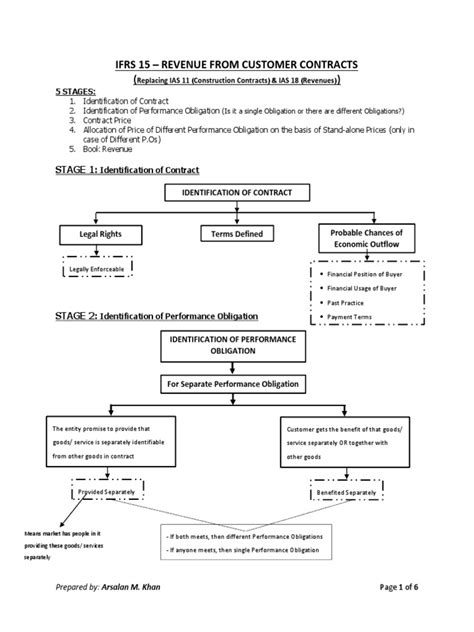
Okay, so here’s where the magic happens. The five-step model is the backbone of IFRS 15. It gives companies a clear, structured process to follow when recognizing revenue. Understanding each step is crucial for preparing the correct IFRS 15 journal entries . Let’s break it down, shall we?

  1. Identify the contract with a customer: This is the starting point. A contract is an agreement between two or more parties that creates enforceable rights and obligations. Basically, you need to make sure you have a contract. Easy, right?
  2. Identify the performance obligations: Next, you need to figure out what the company has promised to do. This might involve delivering a product, providing a service, or a combination of both. Each distinct promise is a performance obligation. This step is about figuring out the what .
  3. Determine the transaction price: This is the amount of consideration the company expects to receive in exchange for transferring goods or services to the customer. This can get a little tricky if there are variable amounts involved, like discounts or rebates. You’ll need to estimate this price based on the best information available. It’s about figuring out the how much .
  4. Allocate the transaction price to the performance obligations: If there are multiple performance obligations in a contract, you need to allocate the transaction price to each one. This is usually done based on the relative standalone selling prices of each good or service. Think of it as dividing up the pie.
  5. Recognize revenue when (or as) the entity satisfies a performance obligation: Finally, you recognize revenue when the company transfers control of the goods or services to the customer. This can happen at a point in time (like when you deliver a product) or over time (like when you provide a subscription service). This is the when .

Following these five steps ensures that revenue is recognized in a way that reflects the transfer of goods or services to the customer and the consideration the company is entitled to receive. This leads us perfectly into the next section, which is the fun part, IFRS 15 journal entries !

Journal Entries for IFRS 15: Step-by-Step

Alright, buckle up, because now we get to the good stuff: the actual IFRS 15 journal entries . Remember those five steps? Well, each step has its implications for the journal entries you’ll need to make. We’ll walk through some common scenarios with some handy examples to illustrate how to account for revenue. Don’t worry; we’ll keep it simple and straightforward. You’ve got this!

Let’s assume our example company sells widgets. We’ll look at a few scenarios. It helps to have a good grasp of the basic accounting equation here: Assets = Liabilities + Equity. Journal entries always affect at least two accounts. The goal of journal entries is to keep the accounting equation in balance.

Scenario 1: Simple Sale of a Widget

Let’s start with a straightforward sale. Imagine the company sells a widget for $100 cash. Here’s how the journal entry would look:

  • Debit: Cash $100 (This increases the company’s cash assets.)
  • Credit: Revenue $100 (This increases the company’s revenue in the income statement, which ultimately increases equity.)

This entry recognizes the revenue when the widget is sold and control is transferred to the customer, in this case, upon delivery. Easy peasy!

Scenario 2: Sale on Credit

Now, let’s say the widget is sold on credit, with payment due in 30 days. The journal entry changes slightly:

  • Debit: Accounts Receivable $100 (This increases the company’s accounts receivable, which is an asset representing the amount owed by the customer.)
  • Credit: Revenue $100 (Same as before, recognizing revenue.)

Once the customer pays, you’d then debit cash and credit accounts receivable.

Scenario 3: Multiple Performance Obligations

Things get a bit more complex when a contract includes multiple performance obligations. Let’s say the company sells a widget for \(150, which includes a one-year warranty (a separate performance obligation). The standalone selling price for the widget is \) 120, and the warranty is $30.

First, you need to allocate the transaction price:

  • Widget: ( \(120 / (\) 120 + \(30)) * \) 150 = $120
  • Warranty: ( \(30 / (\) 120 + \(30)) * \) 150 = $30

When the widget is delivered, here’s the journal entry:

  • Debit: Accounts Receivable $150
  • Credit: Revenue - Widget $120 (Recognize revenue for the widget.)
  • Credit: Deferred Revenue - Warranty $30 (Recognize revenue for the warranty) (This is a liability. You won’t recognize the revenue immediately as you haven’t satisfied the warranty obligations yet.)

Over the year, as the warranty is provided, the journal entry will be:

  • Debit: Deferred Revenue - Warranty $30
  • Credit: Revenue - Warranty $30 (Recognize revenue for the warranty)

Scenario 4: Revenue Recognized Over Time

Consider a company providing a one-year software subscription for $1,200, billed upfront. Revenue is recognized over time as the customer receives the service.

  • Debit: Cash $1,200
  • Credit: Deferred Revenue $1,200 (This is a liability, as you haven’t earned the revenue yet.)

Each month, recognize \(100 of revenue (\) 1,200 / 12 months):

  • Debit: Deferred Revenue $100
  • Credit: Revenue $100

Important Considerations and Practical Tips

Now that we’ve covered the basics of the IFRS 15 journal entries , let’s dive into some important considerations and practical tips that can help you when applying this standard. Remember, understanding the nuances can save you a lot of headaches in the long run. Let’s make sure you’re well-equipped to tackle the challenges of revenue recognition . Ready?

Variable Consideration

One of the trickier areas is variable consideration . This happens when the amount the company receives depends on future events, like discounts, rebates, or performance bonuses. Under IFRS 15, you must estimate the amount of variable consideration you’ll receive. You can use either the expected value method or the most likely amount method. Be careful to only include revenue if it’s highly probable that a significant reversal of revenue will not occur. This is super important to maintain accuracy and reliability in your financial statements. You don’t want to be overstating revenue.

Contract Costs

Don’t forget about contract costs. These are the costs incurred to obtain or fulfill a contract. Some of these costs can be capitalized as assets, but only if they are directly related to the contract and expected to be recovered. Be sure to consider how contract costs are treated. This ensures accurate accounting for the entire contract lifecycle.

Disclosure Requirements

IFRS 15 requires extensive disclosures in the financial statements. You’ll need to provide information about the nature, amount, timing, and uncertainty of revenue and cash flows. The goal is to provide enough information so that users of financial statements understand the revenue that has been recognized and its implications. Good disclosures help to make the financials clearer and more transparent.

Software and Automation

Accounting software can be a lifesaver when dealing with IFRS 15 journal entries . These systems can automate many of the calculations and the creation of journal entries. Using software is a smart idea. It can help save time and reduce the risk of errors. If you’re not using accounting software yet, it might be worth exploring your options.

Common Challenges and How to Overcome Them

Even with a good understanding of IFRS 15 journal entries , you might face a few challenges. Don’t worry; it’s all part of the process. We’re going to cover some common issues and offer some advice on how to get around them, so you can keep everything running smoothly. Let’s tackle these head-on!

Determining Performance Obligations

Identifying performance obligations can sometimes be tricky. The key is to carefully review the contract to determine what goods or services are promised to the customer. Ask yourself: What is the customer paying for? Is each promise distinct, or is it integrated with other promises? Use the five-step model as a framework and seek guidance from industry experts if needed.

Allocating Transaction Price

Allocating the transaction price is another area that can be challenging, especially with multiple performance obligations. Make sure you use the relative standalone selling prices to allocate the transaction price. If standalone selling prices aren’t directly observable, you’ll need to estimate them. Consider using available information, such as prices of similar goods or services, or cost-plus margins. Consistency is also critical.

Dealing with Variable Consideration

Estimating variable consideration requires careful judgment. You need to assess the probability of different outcomes. Be conservative, and make sure that a significant revenue reversal is unlikely. Document your methodology and assumptions, as this will be helpful for the auditors. This will ensure you’re compliant and your financials are accurate.

Training and Education

IFRS 15 is detailed, and it’s essential for everyone involved in the process to be properly trained and up to date. Keep up with the latest updates and interpretations by attending seminars, reading publications, and engaging with experts. This is an investment that will pay off in the long run. Good training is essential for mastering the standard.

Conclusion: Mastering IFRS 15 Journal Entries

So there you have it, folks! We’ve covered the ins and outs of IFRS 15 journal entries and how they impact revenue recognition. We’ve looked at the basics, the five-step model, how to account for different scenarios, and some important tips and challenges to watch out for. Hopefully, this guide has demystified this topic and given you the knowledge and confidence to handle revenue recognition effectively.

Remember, understanding IFRS 15 is crucial for anyone working in accounting or finance. It’s all about ensuring that revenue is recognized accurately, transparently, and consistently. By following the guidelines and examples we discussed, you’ll be well-prepared to handle your company’s revenue recognition requirements. Practice makes perfect, so don’t be afraid to apply these principles. Keep learning, stay curious, and always seek advice when needed. Good luck, and keep those journal entries in balance!