Unlock IUS Constitutional Law: Your Essential PDF Guide

N.Ravtech 78 views
Unlock IUS Constitutional Law: Your Essential PDF Guide

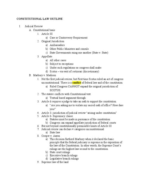
Unlock IUS Constitutional Law: Your Essential PDF Guide\n\n## Diving Deep into IUS Constitutional Law: What You Need to Know\n\n Hey guys , ever wondered about the bedrock of a nation’s legal system? Well, today we’re going to dive deep into the fascinating world of IUS Constitutional Law , especially focusing on how those handy PDFs can be your best friend in mastering this complex subject. When we talk about IUS Constitutional Law, we’re essentially referring to the fundamental principles, rules, and doctrines that govern the organization, powers, and limits of government, as well as the rights and duties of citizens. It’s the supreme law of the land , the ultimate rulebook that every other law must adhere to. Think of it as the operating system for a country – without it, everything would be chaos! This field is absolutely crucial for anyone looking to understand how states function, how power is distributed, and, most importantly, how individual liberties are protected. We’re talking about everything from the separation of powers (executive, legislative, judicial) to federalism, human rights, and the processes for amending the constitution itself. For students, legal professionals, or just curious minds, grasping these concepts is non-negotiable . Exploring IUS Constitutional Law means understanding the very essence of governance and citizenship, shaping societies and influencing daily lives in countless ways. It’s not just dry legal text ; it’s the living framework that ensures justice, order, and liberty. So, buckle up, because understanding these foundational legal principles through readily available IUS Constitutional Law PDFs can truly empower your legal knowledge journey. These documents often contain detailed analyses, case studies, and historical contexts that bring the theoretical aspects to life, making the abstract concept of a constitution tangible and digestible. It’s about empowering you, the reader, with the knowledge to critically evaluate governmental actions and understand the scope of your own rights. The beauty of these constitutional frameworks is their ability to adapt and evolve, even as they provide stability. This dynamic nature means that continuously engaging with updated IUS Constitutional Law resources , particularly comprehensive PDFs, is key to staying informed and academically sharp. We’ll explore how these resources can be best utilized to clarify complex legal doctrines and historical precedents that underpin modern constitutional systems.\n\n## Why IUS Constitutional Law is Absolutely Crucial for Everyone\n\nNow, you might be thinking, “Okay, that sounds important for lawyers, but why for me ?” Guys, IUS Constitutional Law isn’t just for legal eagles; it affects every single one of us in our daily lives, often without us even realizing it. From the moment you wake up and exercise your freedom of speech on social media, to the rights you have when interacting with law enforcement, or even the process by which your taxes are collected and spent – all of these are governed by constitutional principles. It’s the ultimate guardian of our freedoms , ensuring that governments don’t overstep their bounds and that our fundamental human rights are protected. Imagine a world without these constitutional safeguards; it would be a world where power is unchecked, and individual liberties are at the mercy of those in authority. That’s why delving into IUS Constitutional Law PDFs is so incredibly valuable. These resources often break down complex legal jargon into understandable terms, providing historical context and illustrating how these laws have been applied in real-world scenarios. Understanding your rights and the limits of government power empowers you to be an informed and active citizen. It helps you participate effectively in democratic processes, advocate for change, and hold public officials accountable. Think about landmark court cases that have shaped societies – they all hinge on interpretations of constitutional law. Whether it’s the right to privacy, equal protection under the law, or the mechanics of elections, these fundamental legal concepts are literally the pillars of a just society . By studying IUS Constitutional Law, especially through accessible PDF documents , you gain a deeper appreciation for the intricate balance required to maintain a functioning democracy and protect individual dignity. These resources provide a structured way to absorb complex information, offering outlines, summaries, and sometimes even practice questions that solidify your understanding. It’s about fostering an informed populace capable of engaging with and defending the constitutional framework that underlies their nation. Seriously , taking the time to explore these concepts will not only boost your legal literacy but also make you a more discerning and proactive member of your community.\n\n## Navigating the Digital Library: Finding and Using IUS Constitutional Law PDFs\n\nAlright, so you’re convinced that IUS Constitutional Law is vital, and you’re ready to dive in. But where do you find those precious PDFs ? And once you have them, how do you make the most of them? Finding reliable and comprehensive IUS Constitutional Law PDFs can sometimes feel like searching for a needle in a haystack, but with a few tips, you’ll be a pro in no time. First off, start with reputable sources. University law libraries often digitize their collections, making academic texts and scholarly articles available online. Sites like JSTOR, HeinOnline, and official government legislative databases are goldmines for authentic legal documents and academic analyses. Don’t forget about open-access legal journals and repositories maintained by legal institutions or NGOs that focus on constitutional matters. Always double-check the source to ensure its credibility and that the content is up-to-date, especially given how constitutional interpretations can evolve. Once you’ve got your hands on a good IUS Constitutional Law PDF, the real work begins. Don’t just skim it! Treat it like a textbook. Use PDF reader features to highlight key passages, make annotations, and bookmark important sections. Creating a personal summary document as you read through complex topics is also an excellent strategy for retention. Try to connect the dots between different articles or sections of the constitution being discussed in the PDF and real-world events or current legal debates. This contextualization will significantly deepen your understanding and make the material more memorable. Collaborating with study groups and discussing the interpretations found in various IUS Constitutional Law PDFs can also illuminate different perspectives and clarify any ambiguities. Remember, the goal isn’t just to read; it’s to comprehend, analyze, and apply these fundamental legal principles. These documents, particularly those providing comparative constitutional law insights, can expand your understanding beyond your own jurisdiction, offering a global perspective on how different nations tackle similar governance challenges. Leverage the search function within the PDF to quickly find specific terms or articles of the constitution you’re studying. This efficiency is one of the many benefits of using digital resources over traditional hard copies, allowing for faster research and cross-referencing.\n\n## Mastering Key Concepts: The Pillars of IUS Constitutional Law\n\nNow that you know where to find and how to approach IUS Constitutional Law PDFs , let’s talk about some of the key concepts you’ll repeatedly encounter. Understanding these foundational principles is like having a sturdy framework on which to build your knowledge. One of the absolute cornerstones is the principle of Constitutional Supremacy . This means the constitution is the highest law of the land, and all other laws, actions, and decisions must conform to it. Any law or governmental action that contradicts the constitution is generally considered void . This is a huge deal, guys, because it puts a check on legislative and executive power. Another critical concept is the Separation of Powers , which divides governmental authority into three distinct branches: the legislative (making laws), the executive (implementing laws), and the judicial (interpreting laws). The idea here is to prevent any single branch from becoming too powerful, promoting a system of checks and balances . Your IUS Constitutional Law PDFs will undoubtedly delve into this, showing how different countries implement this separation and the inherent tensions and collaborations involved. Then there’s Rule of Law , a principle that asserts that everyone, including those in power, is subject to and accountable to the law. No one is above the law, and laws should be clear, public, stable, and applied evenly. This concept underpins all notions of justice and fairness in a constitutional system. Additionally, look out for discussions on Human Rights and Fundamental Freedoms . Most modern constitutions enumerate a Bill of Rights or similar provisions that protect individual liberties such as freedom of speech, religion, assembly, and the right to a fair trial. These are often presented as inalienable rights , meaning they cannot be taken away. Exploring these sections in your IUS Constitutional Law PDFs will reveal the specific protections afforded to citizens and the limitations that can be placed on these rights under certain circumstances. Comparative constitutional law studies , often found in advanced PDFs, illustrate how different nations approach these fundamental concepts, providing richer context. Understanding these pillars isn’t just academic; it’s about recognizing the very mechanisms that safeguard democratic governance and individual dignity. Seriously , these are the building blocks you need.\n\n## IUS Constitutional Law in Action: Real-World Impact and Applications\n\nIt’s easy to get lost in the theoretical aspects of IUS Constitutional Law , especially when you’re poring over dense PDF documents . But let me tell you, guys, this isn’t just abstract legal theory; it has profound real-world impact and applications that shape societies and individual lives every single day. Think about any major political or social debate – chances are, constitutional law is at its heart. For instance, discussions around privacy rights in the digital age, electoral reforms, debates on the limits of governmental surveillance, or even the power of a president to issue executive orders are all deeply rooted in constitutional principles. Your IUS Constitutional Law PDFs will often include analyses of landmark court cases that have interpreted and reinterpreted these fundamental laws, showcasing how constitutional principles evolve with society. These cases aren’t just historical footnotes; they set precedents that continue to influence legal decisions and public policy. Consider the concept of judicial review , where courts have the power to declare laws unconstitutional. This is a massive power that acts as a critical check on legislative and executive authority, ensuring that new laws align with the constitution’s provisions. Understanding how judicial review operates in different jurisdictions, as detailed in many IUS Constitutional Law PDFs , provides insight into the dynamic relationship between the judiciary and other branches of government. Furthermore, the application of constitutional law extends to international relations, with concepts like sovereignty and international human rights treaties often influencing domestic constitutional frameworks. Legal practitioners, policymakers, and activists constantly engage with constitutional law to shape legislation, challenge injustices, and advocate for marginalized communities. When you read about protests for freedom of assembly, or legal battles concerning discrimination, you’re witnessing IUS Constitutional Law in action. These practical applications highlight why a solid grasp of this field, aided by comprehensive IUS Constitutional Law PDFs , is not just for lawyers, but for anyone who wants to understand and actively participate in the governance of their country. It’s about seeing how the blueprint of a nation translates into tangible outcomes for its people, constantly negotiating the balance between state power and individual liberty.\n\n## Wrapping It Up: Your Journey with IUS Constitutional Law PDFs\n\nSo, there you have it, guys! We’ve taken a pretty comprehensive tour through the exciting and incredibly important realm of IUS Constitutional Law . From understanding its fundamental nature as the supreme law of the land, to appreciating its crucial role in safeguarding our rights and structuring governments, we’ve covered a lot of ground. And let’s not forget the power of those readily available PDF documents as your primary tools for mastering this complex subject. Remember, these aren’t just static files; they are gateways to profound knowledge, offering detailed explanations, historical context, and often, diverse perspectives on legal interpretations. Whether you’re a student embarking on a legal career, a seasoned professional seeking to refresh your knowledge, or just a curious citizen keen to understand the bedrock of your nation’s governance, engaging with IUS Constitutional Law is an investment in your intellectual growth and civic awareness. By utilizing the tips we discussed for finding credible sources and effectively studying these constitutional law PDFs , you’re setting yourself up for success. Always remember to approach the material critically, connect theoretical concepts to real-world applications, and embrace the dynamic nature of constitutional interpretation. The principles of constitutional supremacy, separation of powers, the rule of law, and the protection of human rights are not just academic theories; they are the living, breathing foundations of justice and liberty in any democratic society. So, keep exploring, keep questioning, and keep learning. Your journey into IUS Constitutional Law through these accessible PDF resources is just beginning, and trust me, it’s a journey well worth taking. Happy reading, and may your constitutional knowledge grow by leaps and bounds!